- HOME
- Products(Business Fields)
- New business
- exorapid-qic -Immunochromatography Kit for Extracellular Vesicles
Exorapid-qIC - Immunochromatography kit for extracellular vesicles
Development Background
EVs are substances (endoplasmic reticulum) secreted from cells and are abundant in blood and urine. Since they contain various information derived from the cells from which they are secreted, they are attracting attention as a research subject in the field of bioresearch.
For example, EVs secreted from cancer cells (malignant tumors) contain information derived from the cancer cells from
which they are secreted, so it is expected that detecting EVs may lead to early diagnosis of cancer. In addition to
diagnostic applications, EVs have also been attracting attention in the fields of beauty and medicine in recent years.
In this way, EVs are expected to be used as diagnostic markers *1 and medical materials.
However, many of the analytical methods currently used in EV research have issues, such as complicated processes or the need for expensive analytical equipment.This method*2 is used in diagnostic kits for influenza viruses and the new coronavirus as a quick and easy testing method . We have commercialized this kit through joint development with Shimadzu Corporation, which has a strong track record and advanced technology in the fields of measuring instruments and medical equipment.
- *1. A component that is tested for when diagnosing a disease.
- *2. A method in which the presence or absence of a sample can be determined by the presence or absence of coloration when the sample solution flows over a cellulose membrane due to capillary action. Generally, no dedicated equipment is required.
Product features and expected use cases
Product Features
- No special equipment required! Testing can be completed in about 45minutes!
- Ideal for starting up EVs research and for simple evaluation
- Three types of kits allow for detection of EVs in a variety of samples!
Expected use cases
- Evaluation of cell activity
- - Confirmation of the amount of EVs secreted from cells
- - Background data of EVs used in the experiment
- Quantification and management of EVs
- - Measurement of EVs in samples (e.g., evaluation of culture media and secretion promoters)
- - Confirmation of changes in quantity over time
Product overview
Name |
<Single item>
<Set item> Exorapid-qIC Extracellular Vesicle Immunochromatography Kit(CD9,CD63,CD81 Set) |
Contents |
<Single item>
<Set item>
|
Purpose |
For research and testing (reagents for analyzing EVs) |
operating instructions |
|
Detection mechanism
- (a)Antibodies immobilized on the test paper capture the EVs in sample.
- (b)Gold nanoplate labeled antibody binds to the EVs immobilized on the test strip in step (a)
- (c)A blue lines are visually confirmed by gold nanoplate labeled antibodies bound to EVs.
Examination Overview
EVs are detected by capturing CD9, CD63, and CD81 on the surface of EVs.

Application Data

Evaluation of cancer cell-derived exosomes


Evaluation with mesenchymal stem cell (MSC)-derived exosomes
-
A.
Relationship between particle concentration and detection intensity
Use Exorapid-qIC (CD63)


-
B.
Correlation between IC and ELISA methods
Uses test strips for the CD63 kit and gold nanoplate-labeled antibodies for CD9, CD63, and CD81.


* The IC method was evaluated using 46 times the number of particles as the ELISA method.
-
C.
Combination with purification kits
EVs in the culture supernatant of adipose-derived MSCs were concentrated and purified using a commercially available kit and detected by Exorapid-qIC.

EV-Capture™ is a product that utilizes the negative charge of EVs to separate and collect them using a spin column.

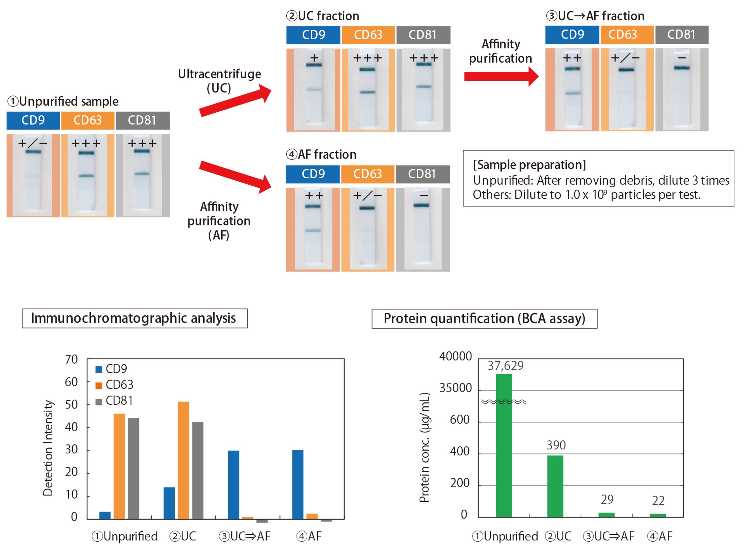
Evaluation with serum
① Unpurified sample, ② Ultracentrifuged fraction, ③ Affinity-purified fraction after ultracentrifugation, and ④ Direct affinity-purified fraction of serum (pooled product) were evaluated using each kit.


Our kits can be used in combination with CD9, CD63, and CD81 kits depending on the test system.
If you have any questions, please feel free to contact us at the address below!
Contact information
About technical information

- New business development Dept.
Speciality Business Div. - URL: https://www.dnt.co.jp
- E-MAIL :evs-support@star.dnt.co.jp
How to Order
- 🛒Order Online: Exorapid-qIC Product List
- (You can place your order directly from the product page.)

- 2792 Loker Ave West, Suite 101 Carlsbad, CA 9200, USA
- URL: https://www.cosmobiousa.com/
- Phone/FAX: (+1)760-431-4600
- E-MAIL :info@cosmobiousa.com